skip to content

Public Access (formerly Langley Research Center)

Turbulence Modeling Resource

 

DNS: Flattened Speed Bump

Return to: Data from DNS - Intro Page

Return to: Turbulence Modeling Resource Home Page


 

The data on this page were provided by G. Coleman.

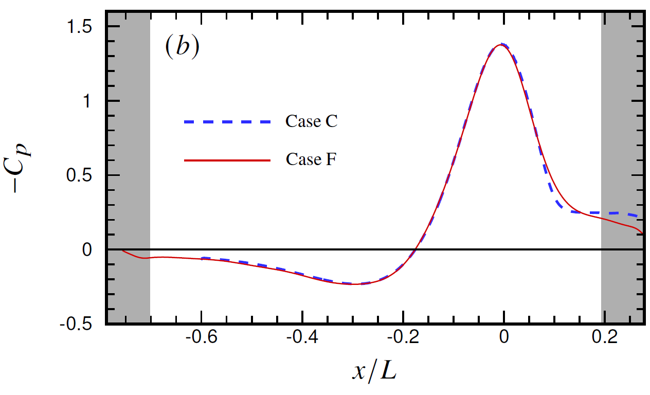
This case is based on a quasi-2D version of the Boeing Gaussian Speed Bump (Case C), as described in: Balin, R. and Jansen, K. E., "Direct Numerical Simulation of a Turbulent Boundary Layer Over a Bump with Strong Pressure Gradients," Journal of Fluid Mechanics, Vol. 918, A14, 2021, https://doi.org/10.1017/jfm.2021.312. In the current Case F, however, the test wall is straight ("flattened"), while the opposite wall has a blowing/suction distribution that yields the same pressure distribution on the straight wall as if it was the quasi-2D Boeing Gaussian Speed Bump shape. This allows the investigation of curvature and pressure effects independently. The flow was computed using the incompressible Navier-Stokes equations in a pseudo-spectral code. Additional details concerning the data, code, and computational methodology can be found in:

(See also the related 3-D experimental data and description of the original geometry in Exp: Smooth Body Separation Experiment (SBSE) - Boeing Gaussian Bump with Error Function Shoulders).

pressure coefficient of flattened speed bump case compared with original curved surface DNS

Here is an explanation of what is in the data files provided:

The DNS data files are given here:


 

Return to: Data from DNS - Intro Page

Return to: Turbulence Modeling Resource Home Page


 
 


Recent significant updates:


Page Curators: Christopher Rumsey, Ethan Vogel, Clark Pederson
Last Updated: 09/24/2024