skip to content

Public Access (formerly Langley Research Center)

Turbulence Modeling Resource


 

 

Return to: Temperature-Matched Mach 1.63 Axisymmetric Jet Intro Page

Return to: Turbulence Modeling Resource Home Page


 

Temperature-Matched Mach 1.63 Axisymmetric Jet Case

SST-Vm Model Results
 

Link to SST-Vm equations

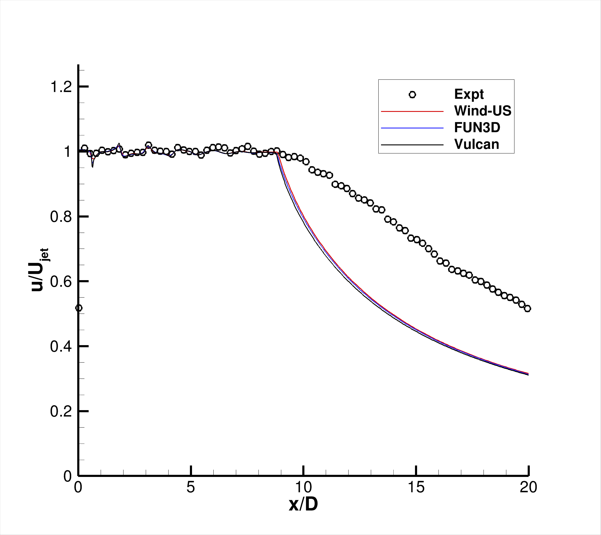
SST-Vm - u-velocity along centerline SST-Vm - TKE along centerline

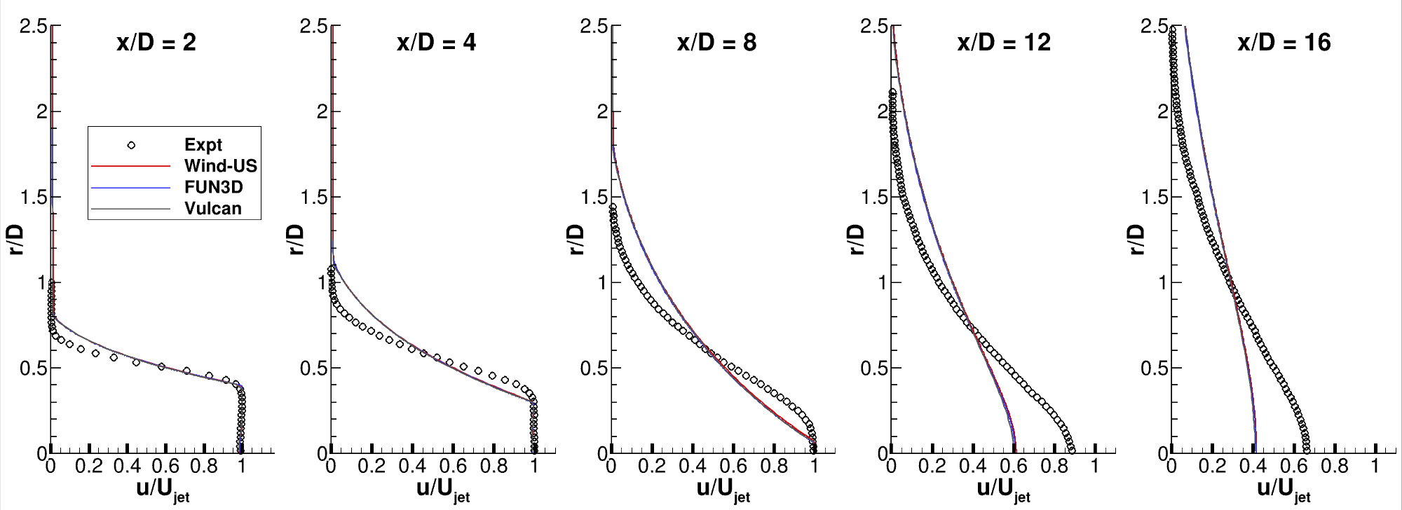
SST-Vm - u-velocities at x-stations

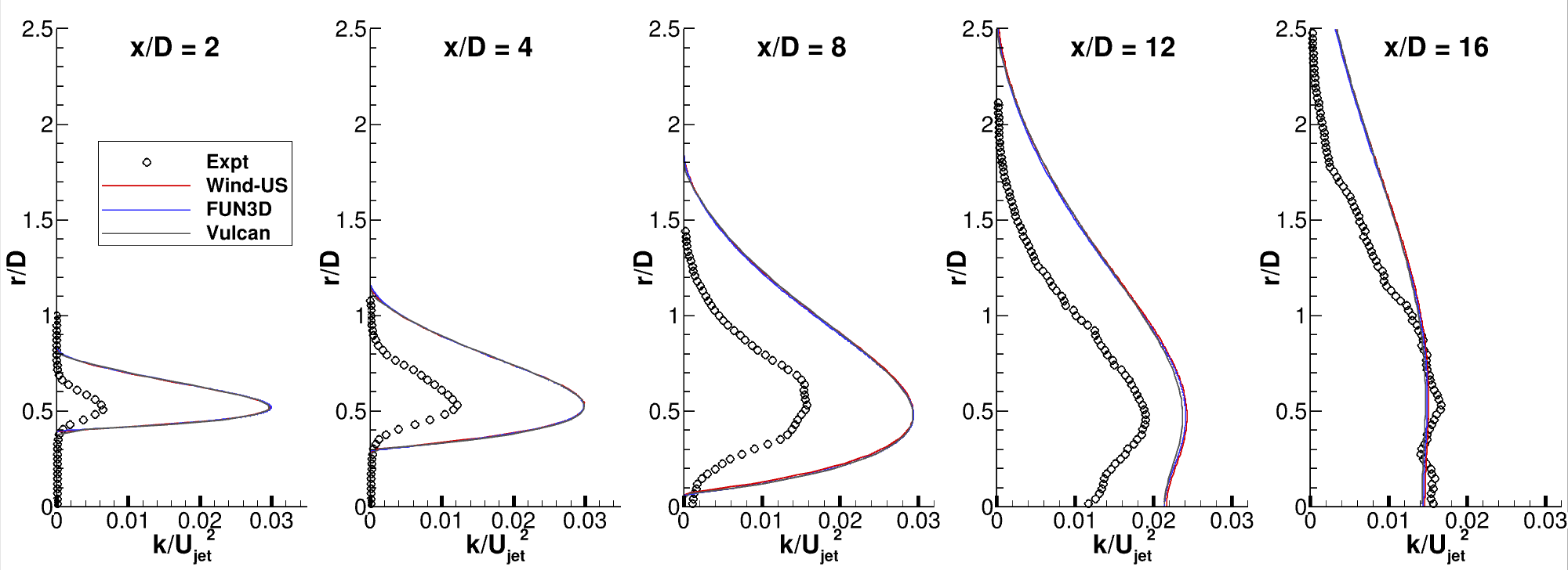
SST-Vm - TKE at x-stations

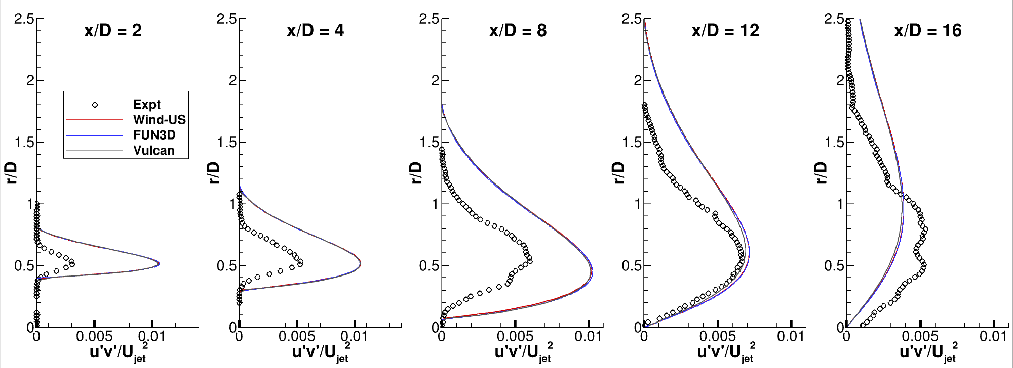
SST-Vm - u'v' at x-stations

Note that thorough grid studies were not always performed for validation cases such as this one. Some effort was made to ensure reasonable grid resolutions, but there may still be small noticeable discretization errors. Therefore, these validation results shown should be considered representative, but not "truth."

The plots shown compare the SST-Vm results from three independent CFD codes: WIND-US, FUN3D, and Vulcan, along with experimental data. FUN3D used freestream turbulence intensity=0.775% and freestream turbulent viscosity (relative to laminar)=0.009 (additional details can be found in the CFL3D User's Manual, Appendix H, which uses the same default freestream turbulence settings). WIND-US used freestream turbulence intensity=0.1317% and freestream turbulent viscosity (relative to laminar)=0.001. Vulcan used freestream turbulence intensity=0.1% and freestream turbulent viscosity (relative to laminar)=0.01. Please read note 5 on Notes on running CFD page. These results are from the finest posted grid (401x281; 201x161; 961x481). All three codes gave nearly identical results to each other. Notes: (1) For axisymmetric cases such as this (with singular axis of symmetry), it is important to solve the turbulence dissipation terms in a strong conservation form; (2) These are compressible code results run on a supersonic case. There may be influence of compressibility. Although they could be beneficial for this case, no specific turbulence model compressibility corrections have been employed here.

The data files from experiment and all three codes are given here. For centerline data:

For profile data (here each file contains all results for a particular x/D location):

A typical FUN3D input file is: fun3d_SSJet_Tmatch.nml.


 
 

Return to: Temperature-Matched Mach 1.63 Axisymmetric Jet Intro Page

Return to: Turbulence Modeling Resource Home Page


 
 


Recent significant updates:


Page Curators: Christopher Rumsey, Ethan Vogel, Clark Pederson
Last Updated: 08/30/2024