skip to content

Public Access (formerly Langley Research Center)

Turbulence Modeling Resource


 

Return to: Turbulence Modeling Resource Home Page


 

ASJ: Axisymmetric Subsonic Jet

See the related hot subsonic jet and near sonic jet cases.

The purpose here is to provide a validation case for turbulence models. Unlike verification, which seeks to establish that a model has been implemented correctly, validation compares CFD results against data in an effort to establish a model's ability to reproduce physics. A large sequence of nested grids of the same family are provided here if desired. Data are also provided for comparison. For this particular subsonic jet case, the data are from experiment.

The experiment involved a jet (Acoustic Research Nozzle 2, or ARN2), with radius 1 inch (25.4 mm). The jet exit Mach number for the particular case here is approximately Mjet=ujet/ajet=0.51, whereas the "acoustic Mach number" ujet/aref is approximately 0.5. In the experiment, the axisymmetric jet exits into quiescent (non-moving) air. However, because flow into quiescent air is difficult to achieve for some CFD codes, here the CFD is computed with a very low background ambient conditions (Mref=0.01, moving left-to-right, in the same direction as the jet). This boundary condition difference has some effect, but testing has indicated that the influence is relatively small, and Mref=0.01 represents a reasonable compromise. The appropriate jet conditions are achieved by setting total pressure and temperature at the inflow face within the jet, as shown in the figure.

It is important to note that this axisymmetric case is not a 2-D computation; it uses a periodic (rotated) grid system with appropriate boundary conditions on the periodic sides of the grid. Note also that a grid with significantly larger domain (1.5 times larger radial extent and twice the distance upstream) was also run, and yielded CFD results that were almost the same as runs on the current grid provided.

Axisymmetric subsonic jet layout & BCs

GRIDS

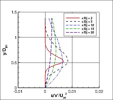
The experiment yielded measured velocities as well as turbulence quantities downstream of the jet exit using PIV. Velocity and turbulence profiles of interest are chosen at the centerline (y=0) as well as at the following x-locations: x/Djet=2, 5, 10, 15, and 20 (where Djet=jet exit diameter). See first plot below for visualization of these locations.

The experimental data references are:

This case is "Set Point 3" from the latter reference. Note that in Table 1 of the reference, the jet static temperature divided by freestream static temperature is listed. The inflow jet BC in the figure above gives total temperature relative to freestream static instead.

Axisymmetric subsonic jet experiment, u-velocity

Axisymmetric subsonic jet experiment, u-velocity along y=0 Axisymmetric subsonic jet experiment, u-velocity at x stations Axisymmetric subsonic jet experiment, v-velocity at x stations Axisymmetric subsonic jet experiment, turb shear stress at x stations Axisymmetric subsonic jet experiment, TKE along y=0 Axisymmetric subsonic jet experiment, TKE at x stations

The experimental data are provided here (note that k=(u'u'+v'v'+w'w')/2):

For those interested, the entire set of Bridges and Wernet consensus jet data from NASA/TM-2011-216807 is provided here:


 
 

What to Expect:
RESULTS
LINK TO EQUATIONS
MRR Level
SA
SA eqns
4
SST-Vm
SST-Vm eqns
3

(Other turbulence model results may be added in the future.)

Note that the OVERFLOW code has documented its results for this validation case (for the SA-noft2 and SST-V turbulence models) in NAS Technical Paper 2016-01 (pdf file) (18.3 MB) by Jespersen, Pulliam, and Childs.
 
 

Return to: Turbulence Modeling Resource Home Page


 
 


Recent significant updates:
08/28/2020 - changed SST-V naming to SST-Vm
12/07/2015 - fixed typo: the experiment was based on ARN2 with nozzle radius 1 inch, not ARN1 with nozzle diameter 1 inch


Page Curators: Christopher Rumsey, Ethan Vogel, Clark Pederson
Last Updated: 11/12/2021