skip to content

Public Access (formerly Langley Research Center)

Turbulence Modeling Resource


 

Return to: 2D Coflowing Jet Verification Case Intro Page

Return to: Turbulence Modeling Resource Home Page


 

SSG/LRR-RSM-w2012 Expected Results - 2D Coflowing Jet

Results are shown here from 2 compressible codes so that the user may compare their own compressible code results. Multiple grids were used so the user can see trends with grid refinement. Different codes will behave differently with grid refinement depending on many factors (including code order of accuracy and other numerics), but it would be expected that as the grid is refined the results will tend toward an "infinite grid" solution that is the same. Be careful when comparing details: any differences in boundary conditions or flow conditions may affect results.

Note that this case was previously referred to as a 2D Planar Shear, but it is more appropriately referred to as a 2D Coflowing Jet. Some of the figures associated with this case may still have the word "shear" in them.

Two independent compressible RANS codes, CFL3D and TAU, were used to compute this coflowing jet flow with the SSG/LRR-RSM-w2012 second-moment Reynolds stress transport model (see full description on SSG/LRR Full Reynolds Stress Model page). The full series of 5 grids were used. CFL3D is a cell-centered structured-grid code (NASA Langley), and TAU is a node-centered unstructured-grid code (DLR). CFL3D used Roe's Flux Difference Splitting, whereas TAU was run using central discretization with artificial matrix dissipation for the mean flow equations and upwinding for the turbulence equations. Both codes were run with full Navier-Stokes, and both codes used first-order upwinding for the advective terms of the turbulence model. Details about the codes can be found on their respective websites (CFL3D, TAU). The codes were not necessarily run to machine-zero iterative convergence, but an attempt was made to converge sufficiently so that results of interest were well within normal engineering tolerance and plotting accuracy. For example, for CFL3D the density residual was typically driven down below 10-13. It should be kept in mind that many of the files given below contain computed values directly from the codes, using a precision greater than the convergence tolerance (i.e., the values in the files are not necessarily as precise as the number of digits given).

The freestream turbulence values used by both CFL3D and TAU for this case were Tu=0.1% and \mu_t / \mu = 0.1. (Note that these are not the default values in CFL3D.) It was discovered that using the same freestream turbulence values in both codes was important for this particular case.

For freestream turbulence BCs, both codes assume isotropic turbulence conditions (identical normal stresses, zero diagonal stresses).

For the interested reader, typical input files for this problem are given here:

CFL3D:

TAU:

The following plot shows the convergence of the drag coefficient due to skin friction on both sides of the thin plate between -10 < x < 0 with grid size for the two codes. In the plot the x-axis is plotting 1/N1/2, which is proportional to grid spacing (h). At the left of the plot, h=0 represents an infinitely fine grid. Both codes go toward approximately the same result on an infinitely refined grid.

convergence of Cd on thin plate vs h

Using the uncertainty estimation procedure from the Fluids Engineering Division of the ASME (Celik, I. B., Ghia, U., Roache, P. J., Freitas, C. J., Coleman, H., Raad, P. E., "Procedure for Estimation and Reporting of Uncertainty Due to Discretization in CFD Applications," Journal of Fluids Engineering, Vol. 130, July 2008, 078001, https://doi.org/10.1115/1.2960953), described in Summary of Uncertainty Procedure, the finest 3 grids yield the following for drag coefficient on the thin plate:

Code Computed apparent order, p Approx rel fine-grid error, ea21 Extrap rel fine-grid error, eext21 Fine-grid convergence index, GCIfine21
CFL3D 3.37 0.138% 0.015% 1.960%
TAU 1.19 0.566% 0.439% 0.551%

The following plots show u-velocity (nondimensionalized by reference speed of sound) at 3 different locations in the jet: (1) x=2.71623, (2) x=29.2468, and (3) x=95.501. As seen, both codes are tending toward similar results as the grid is refined.

convergence of u-velocity
    near x=3 vs h

convergence of u-velocity
    near x=29 vs h

convergence of u-velocity
    near x=96 vs h

Using the uncertainty estimation procedure from the Fluids Engineering Division of th e ASME (Celik, I. B., Ghia, U., Roache, P. J., Freitas, C. J., Coleman, H., Raad, P. E., "Procedure for Estimation and Reporting of Uncertainty Due to Discretization in CFD Applications," Journal of Fluids Engineering, Vol. 130, July 20 08, 078001, https://doi.org/10.1115/1.2960953), described in Summary of Uncertainty Procedure, the finest 3 grids yield the following:

Code Quantity Computed apparent order, p Approx rel fine-grid error, ea21 Extrap rel fine-grid error, eext21 Fine-grid convergence index, GCIfine21
CFL3D u near x=3 0.86 0.047% 0.057% 0.071%
CFL3D u near x=29 5.33 0.001% < 0.001% 0.067%
CFL3D u near x=96 1.16 0.023% 0.019% 0.023%
TAU u near x=3 oscillatory convergence 0.001% N/A N/A
TAU u near x=29 1.93 0.035% 0.012% 0.016%
TAU u near x=96 3.36 0.007% 0.001% 0.099%

The data file that generated all the above plots is given here: convergence_ssglrrrsm.dat.

The u-velocity along x at y=0 from both codes on the finest grid is shown in the next plot. Both codes are seen to yield nearly identical results over the entire domain.

u-velocity along x at y=0

The data file that generated the above plot is given here: uvel_y_0_ssglrrrsm.dat.

The u-velocity along y at three x-stations from both codes on the finest grid is shown in the next three plots. Again, both codes are seen to yield nearly identical results.

u-velocity along y at
 x=2.71623 u-velocity along y at
 x=29.2468 u-velocity along y at
 x=95.501

The data files that generated the above plot are given here: uvel_x_3_ssglrrrsm.dat, uvel_x_29_ssglrrrsm.dat, uvel_x_96_ssglrrrsm.dat.

This type of flow exhibits self-similar behavior far enough downstream. The velocity can be normalized as (u-u1)/(um-u1), where u1 is the velocity at the edge of the outer stream, and um is the peak (centerline) velocity. When plotted against y/b, where b is the halfwidth (location where u-u1 is half of um-u1), the results can be compared to the experimental data of Bradbury and Riley (J. Fluid Mech 27(2):381-394, 1967, https://doi.org/10.1017/S0022112067000400). In the following plot, CFL3D and TAU results are taken from the three x-locations x=29.2468, x=64.2188, and x=95.501. The first location is not far enough downstream to be approximately self-similar.

normalized velocity in wake compared to experiment

The data file that generated the above plot is given here: normalized_u_ssglrrrsm.dat.

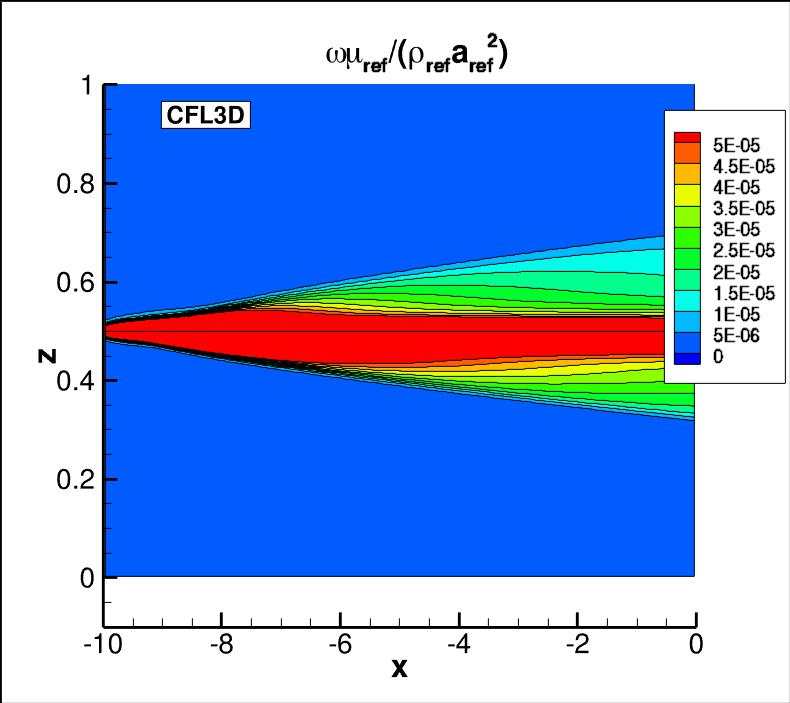
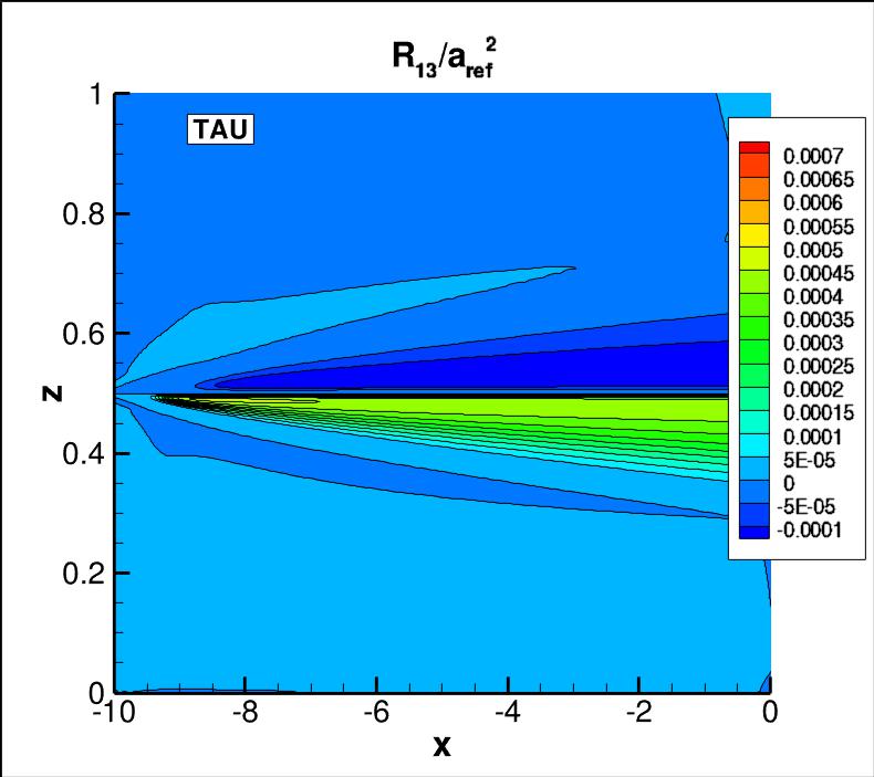
Contours of the nondimensional Reynolds stress variables (\hat R_{ij}) as well as nondimensional omega from the two codes on the finest grid are shown in the following plots (y-scale expanded for clarity). The first set of contours are in the farfield, and the second set are near the thin plate. Results from the two codes are nearly the same.

R11 contours for CFL3D in the farfield R11 contours for TAU in the farfield

R22 contours for CFL3D in the farfield R22 contours for TAU in the farfield

R33 contours for CFL3D in the farfield R33 contours for TAU in the farfield

R13 contours for CFL3D in the farfield R13 contours for TAU in the farfield

omega contours for CFL3D in the farfield omega contours for TAU in the farfield

R11 contours for CFL3D near the thin plate R11 contours for TAU near the thin plate

R22 contours for CFL3D near the thin plate R22 contours for TAU near the thin plate

R33 contours for CFL3D near the thin plate R33 contours for TAU near the thin plate

R13 contours for CFL3D near the thin plate R13 contours for TAU near the thin plate

omega contours for CFL3D near the thin plate omega contours for TAU near the thin plate

The data files that generated the above plots are given here: turb_contours_cfl3d_ssglrrrsm.dat.gz (11.0 MB), (structured, at cell centers) and turb_contours_tau_ssglrrrsm.dat.gz (19.0 MB), (unstructured, at grid points). Note that these are all gzipped Tecplot formatted files, so you must either have Tecplot or know how to read their format in order to use these files.

Using the finest grid, extracted nondimensional k and omega profiles at x=29.2468 are shown below.

nondimensional k at x=29.2468 nondimensional omega at x=29.2468

The data file that generated the above profile is given here: ssglrrrsm_k_omega_29.dat.

Using the finest grid, extracted nondimensional k along y=0 is shown below (note that for CFL3D the data are extracted along the cell center nearest y=0).

nondimensional k along y=0

The data file that generated the above profile is given here: ssglrrrsm_k_0.dat.

The SSG/LRR-RSM-w2012 model relies on the minimum distance to the nearest wall. For this case, contours of this function (near the thin plate, which is the only wall in the domain) are shown in the following plot, for the coarse grid 3 levels down from the finest grid. The y-scale has been expanded for clarity.

minimum distance function

The data file that generated the above plot is given in mindist.dat (unstructured, at grid points). Note that this is a Tecplot formatted file, so you must either have Tecplot or know how to read their format in order to use it.

It is important to note that computing minimum distance by searching along grid lines is incorrect, and is not the same as computing actual minimum distance to the nearest wall for this grid. Using the former method will yield differences in the results. The following sketches demonstrate the concept of minimum distance. Improperly-calculated minimum distance functions will particularly produce incorrect results for cases in which the grid lines are not perfectly normal to the body surface, or when the nearest body does not lie in the current grid zone. Note that when the nearest wall point is a sharp convex corner or edge (like an airfoil or wing trailing edge) then the correct minimum distance is the distance to that corner or edge, which is not a wall normal.

sketch 1 demonstrating the concept of minimum distance function sketch 2 demonstrating the concept of minimum distance function

The codes were also run with the LRR/SSG-RSM-w2012-SD variant. Results were essentially the same as LRR/SSG-RSM-w2012 at upstream locations very near the dividing plate, but the spreading rates were different, so the results varied more significantly downstream. The two codes CFL3D and TAU were again consistent with each other as the grid was refined, as shown in the following plots.

effect of simple diffusion variant
    on convergence of u-velocity near x=3 vs h effect of simple diffusion variant
    on convergence of u-velocity near x=29 vs h

effect of simple diffusion variant
    on convergence of u-velocity near x=963 vs h effect of simple diffusion variant
    on u-velocity along x at y=0

normalized velocity in wake compared to experiment,
    using simple diffusion variant

SSG/LRR-RSM-w2012 results from FUN3D are shown alongside the CFL3D and TAU results below. All three codes are consistent.

convergence of Cd on thin plate vs h, incl FUN3D convergence of u-velocity near x=3 vs h, incl FUN3D

convergence of u-velocity near x=29 vs h, incl FUN3D convergence of u-velocity near x=96 vs h, incl FUN3D

u-velocity along x at y=0, incl FUN3D nondimensional k along y=0, incl FUN3D


 
 

Return to: 2D Coflowing Jet Verification Case Intro Page

Return to: Turbulence Modeling Resource Home Page


 
 


Recent significant updates:
04/05/2016 - re-named the case 2D Coflowing Jet


Page Curators: Christopher Rumsey, Ethan Vogel, Clark Pederson
Last Updated: 03/01/2023